نموذج إجابة امتحان الجبر للشهادة الإعدادية 2024 بالجيزة
تداولت بعض الصفحات على الفيس بوك نموذج إجابة امتحان الجبر للشهادة الإعدادية 2024 بالجيزة حيث قام بعض جروبات الغش بنشر إجابة امتحان الجبر للشهادة الإعدادية 2024 بالجيزة، ولكن لم تصدر مديرية التربية والتعليم والتعليم الفنى حتى الان نموذج إجابة امتحان الجبر للشهادة الإعدادية 2024 بالجيزة رسميا.
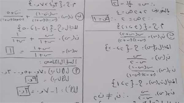
إجابة امتحان الجبر للشهادة الإعدادية 2024 بالجيزة
وجاء نموذج إجابة امتحان الجبر للشهادة الإعدادية 2024 بالجيزة المتداول كما يلي:

تداولت بعض جروبات الغش على مواقع التواصل الاجتماعى وجروبات الغش شاومينج أسئلة وإجابات امتحان الجبر للشهادة الإعدادية 2024 بالجيزة مدونة عبارة جارى الحل وتطالب الطلاب بالتواصل معهم من داخل اللجان للحصول على الإجابة
أسئلة وإجابات امتحان الجبر للشهادة الإعدادية 2024 بالجيزة
وكشف مصدر مسئول بمديرية التربية والتعليم والتعليم الفنى بالجيزة حول تداول أسئلة وإجابات امتحان الجبر للشهادة الإعدادية 2024 بالجيزة أنه جارى التوصل وضبط كل من صور الامتحان من داخل اللجان والتحقق من الصور المتداولة ومضابقتها مع الامتحان وإتخاذ الإجراءات القانونية اللازمة.
ويؤدي طلاب الشهادة الإعدادية اليوم الأحد الموافق 19/ 5/ 2024 امتحان مواد الجبر والإحصاء، والكمبيوتر وتكنولوجيا المعلومات للفصل الدراسي الثاني.
امتحان الجبر للشهادة الإعدادية 2024 بالجيزة
ويتابع أشرف سلومة وكيل وزارة التربية والتعليم بالجيزة إجراءات نقل وتوزيع صناديق الأسئلة الخاصة بـ امتحان الجبر للشهادة الإعدادية 2024 بالجيزة من خلال خطة العمل التي تم دراستها بإحكام مراعاة للدقة والشفافية وحسن سير العملية الامتحانية
يأتى ذلك ضمن استعدادات وتجهيزات مديرية التربية والتعليم بالجيزة لانطلاق امتحانات الفصل الدراسى الثانى للشهادة الإعدادية والتى انطلقت يومها الأول بامتحان مادة اللغة العربية
جدول امتحانات الشهادة الإعدادية 2024 بمحافظة الجيزة
ويأتى جدول امتحانات الشهادة الإعدادية 2024 بمحافظة الجيزة كما رصده موقع تحيا مصر كالتالي:
موعد امتحان اللغة العربية والخط، يوم السبت 18 مايو 2024
موعد امتحان مادتي الجبر والإحصاء، والكمبيوتر وتكنولوجيا المعلومات، يوم الأحد 19 مايو 2024
موعد امتحان مادة الهندسة، يوم الإثنين 20 مايو 2024
موعد امتحان مادتي اللغة الأجنبية، والتربية الدينية، يوم الثلاثاء 21 مايو 2024
موعد امتحان مادتي العلوم، والتربية الفنية، يوم الأربعاء 22 مايو 2024
موعد امتحان مادتي الدراسات الاجتماعية، والتربية الرياضية "خاص بمدرسة السعيدية"، يوم الخميس 23 مايو 2024
- نموذج إجابة امتحان الجبر للشهادة الإعدادية 2024 بالجيزة
- نموذج إجابة امتحان الجبر للشهادة الإعدادية 2024
- نموذج إجابة امتحان الجبر للشهادة الإعدادية
- إجابة امتحان الجبر للشهادة الإعدادية 2024 بالجيزة
- إجابة امتحان الجبر للشهادة الإعدادية 2024
- إجابة امتحان الجبر للشهادة الإعدادية
- امتحان الجبر للشهادة الإعدادية 2024 بالجيزة
- إجابة امتحان الجبر
- تحيا مصر
- موقع تحيا مصر
تطبيق نبض