عاجل | ظهور نتيجة مسابقة 30 الف معلم المرحلة الثانية فى جميع المحافظات بالكشوفات
ظهرت نتيجة مسابقة 30 الف معلم المرحلة الثانية فى جميع المحافظات بالكشوفات وتظلمات المرحلة الأولى حيث أعلنت المديريات التعليمية فى الساعات الماضية بجميع المحافظات كشوف نتائج الناجحين فى مسابقة 30 الف معلم.






نتيجة مسابقة 30 الف معلم المرحلة الثانية
وللتعرف على نتيجة مسابقة 30 الف معلم المرحلة الثانية وتظلمات المرحلة الأولى من خلال الدخول الى صفحات المديريات التعليمية الخاصة بالمحافظة للحصول على الكشوفات كاملة.





مسابقة 30 الف معلم المرحلة الثانية
أصدرت وزارة التعليم تعليمات هامة للمديريات التعليمية بشأن المعلمين المساعدين المعينين ضمن مسابقة الـ 30 ألف معلم الأولى، وذلك في إطار سد عجز المعلمين في المدارس في العام الدراسي الجديد 2024/2025، وتؤكد الوزارة على أنه بالنسبة للمعلمين المساعدين المتعاقدين ضمن مسابقة الـ 30 ألف الأولى على وظيفة معلم فصل،يتم الاستعانة بهم في تدريس مادة التخصص،وتكون الأولوية لتدريس التخصص في الصفوف الأولى.





واوضحت الوزارة فى بيان رصده موقع تحيا مصر أنه يتم إعادة تسكين المعلمين المساعدين المتعاقدين ضمن مسابقة الـ 30 ألف الأولى الذين تغيرت ظروف محل إقامتهم لظروف قهرية طبقا للمستندات التي تؤيد ذلك (قسيمة زواج - قسيمة طلاق - شهادة وفاة - ما يفيد انتقال محل سكن الأسرة،طبقا للمحافظات التي تغير إليها محل إقامتهم).













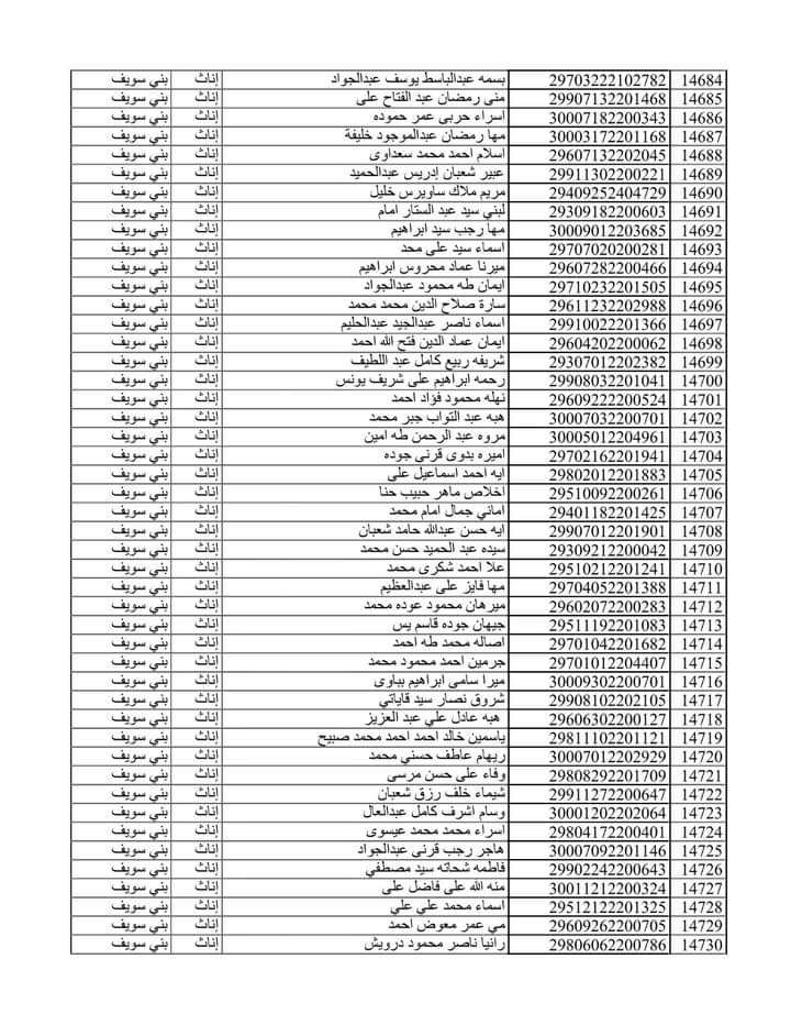
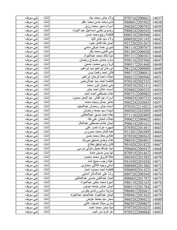
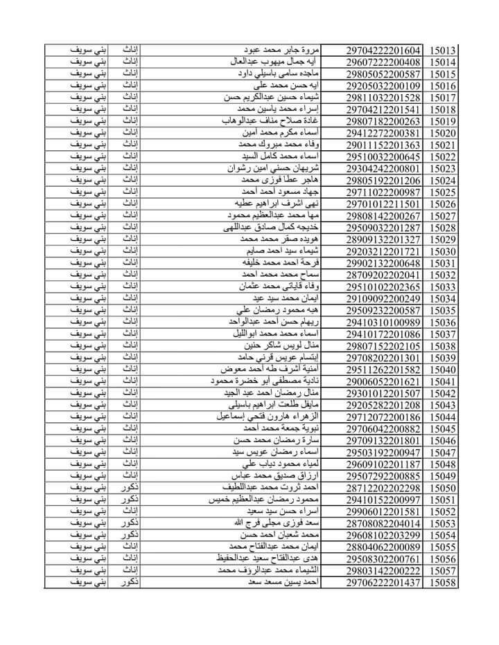
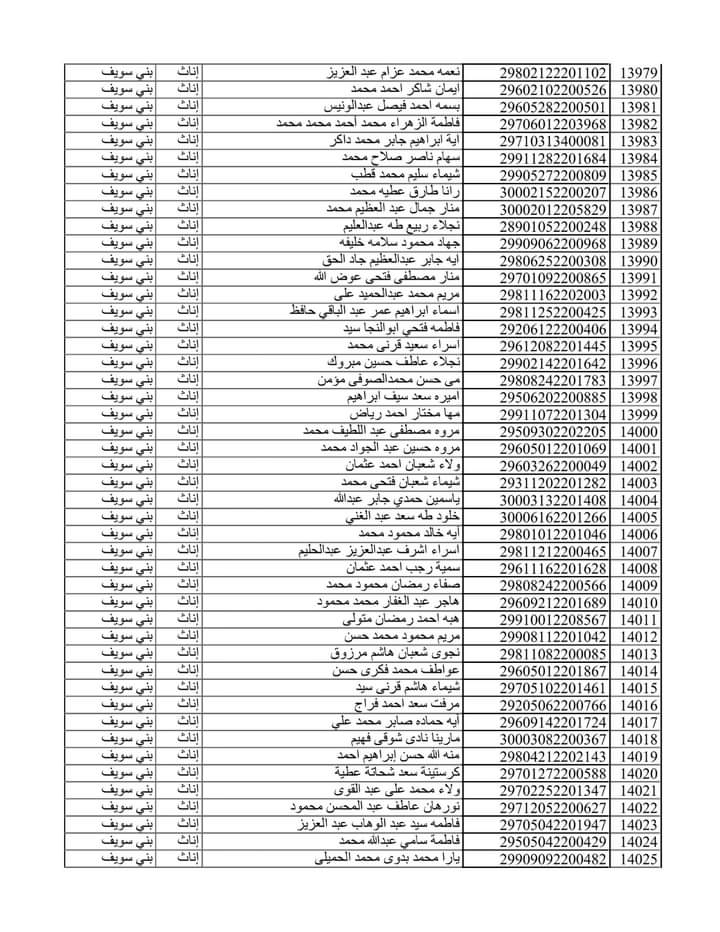
محافظ بني سويف: الإعلان عن أسماء الدفعة الثانية وتظلمات الدفعة الأولى ضمن مسابقة 30 ألف معلم
أعلن المحافظ الدكتور محمد هاني غنيم،عن تلقى مديرية التربية والتعليم والتعليم الفني ببني سويف،كشوف أسماء الدفعة الثانية من المقبولين ضمن مسابقة الـ 30 ألف معلم من المتقدمين بمختلف مدن ومراكز المحافظة، بجانب أسماء ممن تم قبول تظلماتهم من الدفعة الأولى.
جاء ذلك خلال لقائه بوكيل وزارة التعليم هاني عنتر لمناقشة الإجراءات اللازمة وسرعة التنفيذ والتسكين لهذه الأعداد ضمن الاستعدادات لبد العام الدراسي الجديد 2024/2025.
وجه المحافظ بنشر تلك الأسماء على الصفحات الرسمية مع اتخاذ الإجراءات اللازمة حيال ذلك، مؤكدا أهمية هذه الخطوة التي ستدعم المنظومة التعليمية، متمنيا التوفيق للمعلمين الجدد في أداء رسالتهم الجليلة.
تطبيق نبض