إجابات امتحان الديناميكا للثانوية العامة 2023 اليوم
إجابات امتحان الديناميكا للثانوية العامة 2023 اليوم.. حيث يؤدى طلاب الثانوية العامة الشعبة العلمية رياضة امتحان مادة الديناميكا بدءا من الساعة التاسعة صباحا والذى يستمر حتى الساعة الحادية عشر اليوم الثلاثاء، ويبدأ الطلاب بعد انتهاء اللجان فى البحث عن إجابات امتحان الديناميكا للثانوية العامة 2023 اليوم,
إجابات امتحان الديناميكا للثانوية العامة 2023 اليوم
ولم تعلن وزارة التربية والتعليم والتعليم الفنى إجابات امتحان الديناميكا للثانوية العامة 2023 اليوم، ولكن نشرت بعض الجروبات والصفحات إجابات امتحان الديناميكا للثانوية العامة 2023 اليوم والتى جاءت كالتالي:


إجابات امتحان الديناميكا للثانوية العامة 2023 اليوم


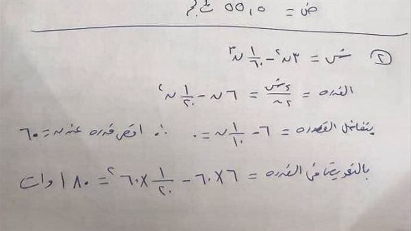
تسريب امتحان الديناميكا
صرح شادي زلطة المتحدث الرسمي باسم وزارة التربية والتعليم والتعليم الفني بأن غرفة عمليات الثانوية العامة رصدت عددا من الصور المتداولة على مواقع التواصل الاجتماعي قبل بداية انطلاق امتحان مادة الرياضيات التطبيقية (الديناميكا) صباح اليوم، مؤكدا أن هذه الصور تعود لامتحان العام الماضي وليس لها أي صلة بامتحان اليوم.

امتحان الديناميكا اليوم
وتناشد وزارة التربية والتعليم وسائل الإعلام المختلفة ومرتادي مواقع التواصل الاجتماعي تحري الدقة والموضوعية في نشر الأخبار، والتواصل مع الجهات المعنية للتأكد قبل نشر معلومات لا تستند إلى أي حقائق، وتؤدي إلى إثارة البلبلة بين الطلاب وأولياء الأمور.
وتابعت وزارة التربية والتعليم والتعليم الفني، وصول أوراق أسئلة امتحان الديناميكا 2023، إلى لجان امتحانات الثانوية العامة 2023، وسط إجراءات أمنية مشددة لمنع تسريبها.
ومادة الديناميكا، هى إحدى فروع مادة الرياضيات التطبيقية ومجموع درجاتها 60 درجة، منها مجموع درجاتها 30 درجة للديناميكا ويتضمن الامتحان سؤالين مقالي مخصص لها 4 درجات و18 سؤالاً موضوعيًا مخصص لها 26 درجة ليصبح إجمالي عدد الأسئلة 20 سؤالًا، وتضاف درجة الطالب فيها إلى مادة الاستاتيكا والتى تصل درجتها أيضا إلى 30 درجة وأدى فيها الطلاب الامتحان بواقع سؤالين مقالى تم تخصيص 4 درجات لهما والموضوعية 18 سؤالاً مخصص لها 26 درجة ليصبح إجمالي عدد الأسئلة ٢٠ سؤالًا، مؤكدة أن إجمالى عدد الأسئلة التى تخاطب المستويات العقلية البسيطة والمتوسطة فى المادة 70% و30% للمستويات العليا للتفكير.
تطبيق نبض